Written by The Fengze Strategy.
Image credit: Public domain.
Taiwan’s 2024 presidential election is approaching. Although candidates from different major parties have yet to stand out representing their parties, economic development has been considered an essential issue in every campaign. Some political entrepreneurs thought that democratic values could not be sufficient for economic development; in other words, citizens who prefer economic development the most would consider the so-called democratic value to be “a castle in the sand”. In this article, we will examine the presidential elections in Taiwan from 1996 to 2020 through the basic factor of economic development, the gross domestic product (GDP).
First of all, let us take a look at the electoral trends in Taiwan’s presidential elections. Since the 1996 term, although the number of voters has been gradually increasing (Figure 1), voter turnout has been declining, except for the 2020 election (Figure 2).

Figure 1: The number of electorates in Taiwan

Figure 2: The rate of voter turnout in Taiwan
As for the basic economic factors that might influence democratic development and political efficacy, we examined the Gross Domestic Product (GDP). We also examined how each city has better political efficacy. We shortlisted those cities whose rate is larger than 5%. As a result, all six urban metropolises, including Taipei, New Taipei, Taoyuan, Taichung, Tainan, and Kaohsiung, with Changhua having the largest population at the county level, have better political efficacy in terms of voter turnout. It has to do with population. Cities and towns with larger populations have better political participation in presidential elections. However, political efficacy in Taipei and Changhua has slightly decreased and increased in New Taipei, Taoyuan, and Taichung. The trend in political efficacy in Tainan and Kaohsiung is more stable. It also shows how urban population loss, growth, and domestic migration could affect political efficacy. New Taipei, Taoyuan, and Taichung, which are increasing in urban population, have better voter turnout, while Taipei and Changhua may be declining, and the southern metropolises of Tainan and Kaohsiung are still.
Following the previous result on the political effectiveness of municipalities, we are also interested in the development of voter turnout in each city. In general, the growth rate of each city increased from 1996 to 2000 but decreased from 2000 to 2016. On the other hand, the turnout of the presidential election in 2020 was better than in 2016.
As for party preference in presidential voting, we examined the two major parties in Taiwan, the KMT (Kuomintang) and the DPP (Democratic Progressive Party), while excluding minor parties and independent candidates.
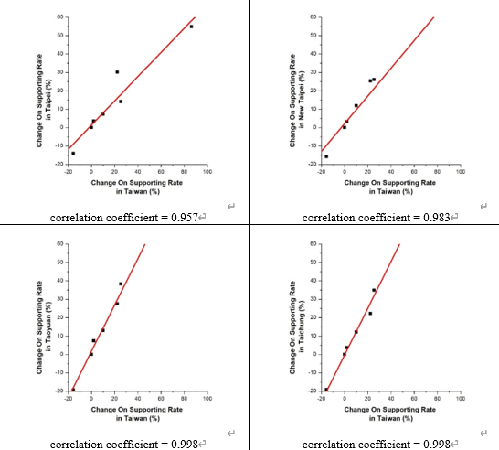
At the national and municipal levels, citizens who voted for the DPP increased from 1996 to 2004 but declined in 2008 and then increased again from 2008 to 2020, in the range of more than 50% (Figure 3).

Figure 3: The development of DPP supporters in the presidential elections at the national level
The correlation coefficients of support for the DPP at the national and municipal levels were positive and quite strong (Figure 4). Regarding the correlation coefficient, it is worth noting that (a). the coefficient is supposed to describe the linear relationship between two variables; in other words, if the relationship is non-linear, then the coefficient is not applicable; (b) if the relationship is linear, through the obtained coefficient, the increase on one variable could probably cause the increase or decrease on another variable.
Table 1: Level of correlation coefficients
| 0.7 to 1.0 | very strong | positive |
| 0.5 to 0.7 | strong | positive |
| 0.3 to 0.5 | moderate | positive |
| 0.0 to 0.3 | weak | positive |
| 0.0 | none | zero |
| -0.3 to 0.0 | weak | negative |
| -0.5 to -0.3 | moderate | negative |
| -0.7 to -0.5 | strong | negative |


Figure 4: The correlation coefficients development of DPP supporters in the presidential elections
In examining the development of support for the DPP, we also considered the economic factor of support. Based on voter turnout from 1996 to 2020, the correlation coefficients are greater than 0.7, indicating the potentially strong and positive linear relationship between DPP’s support rates and the GDP in Taiwan. In other words, for the potential influence, if the GDP increases from the year before each election, the support rates for the DPP could also increase. And hence, the increases in the GDP contributed to the growth of DPP’s supporters, who incline toward Taiwan’s independence in contrast to the unification with China. In other words, even though most of the GDP could be mainly obtained through Taiwan-China trade and commerce, it not only cannot achieve the Chinese government’s goal of unification but also might lead to the wake and arousal of Taiwan’s consensus towards democratic development and independence. In short, more GDP, more DPP.
Compared to the DPP, those who voted for the KMT decreased from 1996 to 2000 but increased from 2000 to 2008 and decreased again from 2008 to 2016 (Figure 5), while the result increased in 2020 in the range of less than 45%. As shown in Figure 6, the correlation of KMT supporters at both national and municipal levels is also positive and strong. These results may indicate that the increasingly dominant DPP supporters have started motivating the increase in supporting rates for the KMT at national and municipal levels. On the other hand, the potential number of support for the KMT could still be large. In other words, the two-party system is consolidated during economic development, in which extremely polarised politics is difficult to be shaped even under rapidly changing external and internal circumstances. As one of the cornerstones of democracy, such a relative balance of party development actually reflects the strong stability of the democratic system in Taiwan.

Figure 5: The development of KMT supporters in the presidential elections at the national level


Figure 6: The correlation coefficients development of KMT supporters in the presidential elections
Examining the evolution of support for the KMT at the municipal level, however, we found that based on the elections from 1996 to 2020, the absolute values of the correlation coefficients are generally very small and close to 0, indicating that there was no potential linear relationship between support rates for the KMT and the GDP in Taiwan. In other words, the support rates for the KMT locally are indirectly influenced by the economic development in terms of GDP in Taiwan. Moreover, compared to the corresponding results of the DPP, the correlation coefficients are irregular and very small, and such a comparison is apparently clear but radically opposite. Could the comparison suggest that support for the KMT is less influenced by economic developments and more driven by beliefs such as the “one China policy” and the idea that “we are all Chinese”? In other words, support for the KMT might be stable and not easily changed.
In conclusion, this essay has examined the relationship between economic factors, democratic development, and political efficacy in Taiwan’s presidential elections from 1996 to 2020. The analysis showed that the GDP significantly impacts voter turnout. In addition, the population size and urban development of cities and towns are also crucial factors in political efficacy. The study also found that the number of citizens voting for the DPP has increased over time in national and municipal elections, while the KMT has its ups and downs. The correlation coefficient between support for both the major political parties and voter turnout is rather positive and strong. The results of this study suggest that economic development and democratic values are both crucial issues in Taiwan’s presidential elections, and both issues are not in opposition, but also that the population size and urban development of cities and towns also significantly impact political efficacy. Meanwhile, the balance in two party system indicates that the status quo of the democratic system in Taiwan is strong and stable, and the global challenges do not negatively influence but strengthen democracy.
Statistical Sources:
1. Electorate Numbers and Voter Turnout of Presidential Election at the National and Municipal Levels 1996-2020, The Central Election Committee, https://db.cec.gov.tw/
2. Taiwan Unemployment Rate from January 1978 to February 2023, The National Statistics Database, https://www.stat.gov.tw/
3. Taiwan GDP GNI from 1991 to 2022, The National Statistics Database, https://eng.stat.gov.tw/
The Fengze Strategy (風澤社) is established with the topological concepts of change and nourishment from the Book of Change. We study politics and economy by analysing the stabilities and risks for the public in East Asia.
